|
PRODUCTS - Light Stabilizers - Hindered Amines |
| SiSiB CODE |
CHEMICAL NAME |
CAS NO. |
| PowerStab™ 119 |
1,5,8,12-tetrakis[4,6-bis(n-butyl-n-1,2,2,6,6-pentamethyl-4-piperidylamino)-1,3,5-triazin-2-yl]-1,5,8,12-tetraazadodecane |
106990-43-6 |
 |
| PowerStab™ 123 |
Bis(1-octyloxy-2,2,6,6-tetramethyl-4-piperidyl) sebacate |
129757-67-1 |
| |
 |
| PowerStab™ 144 |
Bis(1,2,2,6,6-pentamethyl-4-piperidinyl)-[[3,5-bis(1,1-dimethylethyl)-4-hydroxyphenyl]methyl]butylmalonate |
63843-89-0 |
| |
 |
|
| PowerStab™ 292 |
Bis(1,2,2,6,6-pentamethyl-4-piperidinyl)-sebacate,
1-(Methyl)-8-(1,2,2,6,6-pentamethyl-4-piperidinyl)-sebacate |
41556-26-7 |
| |
 |
82919-37-7 |
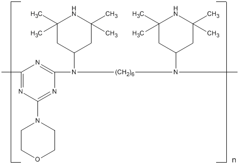
| PowerStab™3346 |
N,N'-Bis(2,2,6,6-tetramethyl-4-piperidinyl)-1,6-hexanediamine-2,4-dichloro-6-morpholino-1,3,5-triazine copolymer |
82451-48-7 |
| |
 |
|
PowerStab™3529 |
N,N'-Bis(2,2,6,6-tetramethyl-4-piperidinyl)-1,6-hexanediamine polymers with
morpholine-2,4,6-trichloro-1,3,5-triazine reaction products, methylated |
193098-40-7 |
| |
 |
|
| PowerStab™ 3853 |
Fatty acids, C12-21 and C18-unsaturated, 2,2,6,6-tetramethyl-4-piperidinyl esters |
167078-06-0 |
| |
 |
|
| PowerStab™ 3853PP5 |
Fatty acids, C12-21 and C18-unsaturated,2,2,6,6-tetramethyl-4-piperidinyl esters Polypropylene |
167078-06-0, 9003-07-0 |
| |
 |
|
| PowerStab™ 622 |
Butanedioic acid, 1,4-dimethyl ester, polymer with 4-hydroxy-2,2,6,6-tetramethyl-1-piperidineethanol |
65447-77-0 |
| |
 |
|
| PowerStab™ 770 |
Bis(2,2,6,6-tetramethyl-4-piperidyl) sebacate |
52829-07-9 |
| |
 |
|
| PowerStab™7794 |
PowerStab™ 770 / PowerStab™ 944 = 1/1 |
Blend |
| |
|
|
| PowerStab™ 783 |
PowerStab™ 622 / PowerStab™ 944= 1/1 |
Blend |
| |
|
|
PowerStab™ 944 |
Poly[[6-[(1,1,3,3-tetramethylbutyl)amino]-1,3,5-triazine-2,4-diyl][(2,2,6,6-
tetramethyl-4-piperidinyl)imino]-1,6-hexanediyl[(2,2,6,6-tetramethyl-4-piperidinyl)imino]]) |
71878-19-8
70624-18-9 |
| |
 |
|
| PowerStab™ 945 |
N,N’-bisformyl-N,N’-bis-(2,2,6,6-tetramethyl-4-piperidinyl)-hexamethylendiamine |
124172-53-8 |
| |
 |
|
|
|
|